전용 다이오드 장착 장치
투명 안전 실드와 독립적으로 장착 된 진공 다이오드
통합 솔레노이드 코일
정확한 자기장 정렬을위한 560 회전 솔레노이드
고정밀 측정 단위
4.5 자리 디스플레이 (0.1μA-20mA) 가있는 Microampere 레벨 증폭기
안정적인 전압 공급
선형 조정 가능한 전원 공급 장치 (0-160.0V DC), 리플 프리
고급 데이터 수집
실시간 데이터 수집을위한 듀얼 PASCO 인터페이스
금속 전자 작업 기능의 결정
결합 된 전기 및 자기장의 전자 운동 (e/m 측정)
Fermi-Dirac 유통 조사
이상적인 진공 다이오드의 전류 전압 특성
아니. | 부분 | 사양 |
1 | 메인 콘솔 |
|
2 | DC 전원 공급 장치 |
|
3 | 진공 다이오드 |
|
4 | 솔레노이드 | 560 턴 |
# | 부품 | 모델 | Qty. |
1 | 금속 전자 작업 기능 장치 | BEM-5715 | 1 |
2 | Table DC 전원 공급 장치 | BEM-5055 | 1 |
3 | 이상적인 진공 다이오드 어셈블리 | BEM-5716 | 1 |
4 | 솔레노이드 코일 | BC-201026 | 1 |
5 | 2mm 레드 바나나 리드 (피복) | BC-104087 | 2 |
6 | 2mm 블랙 바나나 리드 (피복) | BC-104088 | 2 |
7 | 4mm 레드 바나나 리드 | BC-105084 | 1 |
8 | 4mm 블랙 바나나 리드 | BC-105083 | 1 |
9 | 4mm 블랙 바나나 리드 (피복) | BC-105073 | 1 |
10 | 4mm 레드 바나나 리드 (피복) | BC-105074 | 1 |
11 | 전원 코드 | BC-105075 | 1 |
12 | 8 핀 인터페이스 케이블 | BC-105077 | 2 |
실험 1: 작업 기능 결정
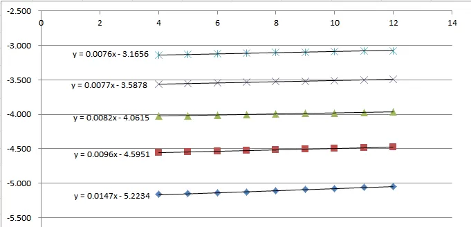
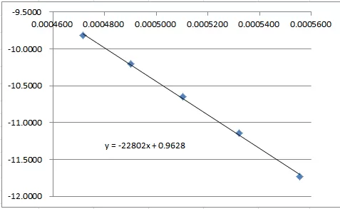
표 1: 전압 및 온도 대 양극 전류 특성


표 2: 리처드슨 분석 매개 변수


실험 2: 충전 대 질량 비율 측정

실험 3: Fermi-Dirac 분포 연구


실험 4: 다이오드 I-V 특성화

UI-5400 캡스톤 데이터 수집 소프트웨어
UI-5000 850 범용 인터페이스
PS-3211 무선 전압 센서 (2 단위)
