전용 다이오드 장착 장치, 투명 아크릴 안전 실드가있는 독립적으로 장착 된 이상적인 진공 다이오드는 유리 부품을 보호하면서 다이오드 작동을 명확하게 관찰 할 수 있습니다. 향상된 개념적 이해를 위해 표시된 회로도 표시된 소켓 기능
정확한 양극 전류 측정 모듈: 양극 전류 측정 모듈은 최대 0.1uA ~ 20mA 의 측정 범위를 가진 마이크로 앰프 전류 증폭기와 4 개의 디지털 디스플레이 미터를 사용합니다. 약한 양극 전류를 정확하고 미세하고 안정적으로 측정 할 수 있습니다.
안정적인 양극 전압 출력 모듈: 양극 전압 출력은 선형 전원 공급 장치를 사용하고 출력 진폭은 0 ~ 160.0 V에 도달하여 진공 다이오드의 양극 전압을 안정적이고 효율적으로 제공 할 수 있습니다.
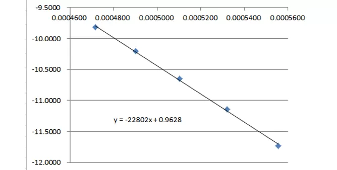
금속 전기 작업 기능 (일 기능) 의 측정 실험.
Richardson의 직선 측정 방법, epitaxy 측정 방법 및 보상 측정과 같은 기본 실험 방법을 배우십시오.
아니. | 부분 | 사양 |
1 | 금속 전기 작업 기능 실험 장치 | 양극 전압 모듈: 0 에서 160VDC 까지 조정 가능한 전압 범위 양극 현재 모듈: 측정 범위는 0 ~ 20mA 입니다. 필라멘트 현재 모듈: 0 에서 800mA 까지 조정 가능한 범위 |
2 | 이상적인 진공 다이오드 상자 | 필라멘트 물자: 순수한 텅스텐 양극 소재: 니켈 필라멘트 현재: 0.50 - 0.80 A |
아니. | 부분 | 모델 | Qty |
1 | 금속 전자 작업 기능 장치 | BEM-5715 | 1 |
2 | 이상적인 진공 다이오드 어셈블리 | BEM-5716 | 1 |
3 | 4mm 레드 바나나 리드, 레드 | BC-105084 | 2 |
4 | 4mm 레드 바나나 리드, 블랙 | BC-105083 | 2 |
5 | 4mm 블랙 바나나 리드 (피복), 블랙 | BC-105073 | 1 |
6 | 4mm 블랙 바나나 리드 (피복), 레드 | BC-105074 | 1 |
7 | 전원 코드 | BC-105075 | 1 |
8 | 8 핀 DIN 연장 케이블 | BC-105077 | 2 |
UI-5400 캡스톤 데이터 수집 소프트웨어
UI-5000 850 범용 인터페이스
PS-3211 무선 전압 센서 (2 단위)
